A variety of oscillator circuits can be built using LC tuned circuits. A general form of tuned oscillator circuit is shown in fig. 1. It is assumed that the active device used in the oscillator has very high input resistance such as FET, or an operational amplifier.
|
 |
Fig. 1 |
Fig. 2 |
Fig. 2 shows linear equivalent circuit of fig. 1 using an amplifier with an open circuit gain –Av and output resistance RO. It is clear from the topology of the circuit that it is voltage series feedback type circuit.
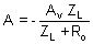
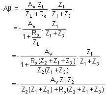
The loop gain of the circuit –Aβ can be obtained by considering the circuit to be a feedback amplifier with output taken from terminals 2 and 3 and with input terminals 1 and 3. The load impedance ZL consists of Z2 in parallel with the series combination of Z1 and Z3. The gain of the the amplifier without feedback will be given by

The feedback circuit gain is given by
Therefore, the loop gain is given by

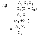
If the impedances are pure reactances (either inductive or capacitive), then Z1 = jX1, Z2= jX2 and Z3= jX3. Then

For the loop gain to be real (zero phase shift around the loop),
X1 + X2 + X3 = 0
and 
Therefore, the circuit will oscillate at the resonant frequency of the series combination of X1, X2 and X3. Since –A β must be positive and at leat unity in magnitude, then X1 and X2 must have the same sign (Av is positive).In other words, they must be the same kind of reactance, either both inductive or both capacitive.
GOTO >> 1 || 2 || 3 || Home