At low frequencies (around 100 KHz or less), resistors are usually employed to determine the frequency oscillation. Various circuits are used in the feedback circuit including ladder network.

Fig. 4
A block diagram of a ladder type RC phase shift oscillation is shown in fig. 4. It consists of three resistor R and C capacitors. If the phase shift through the amplifier is 180º, then oscillation may occur at the frequency where the RC network produces an additional 180 phase shift.
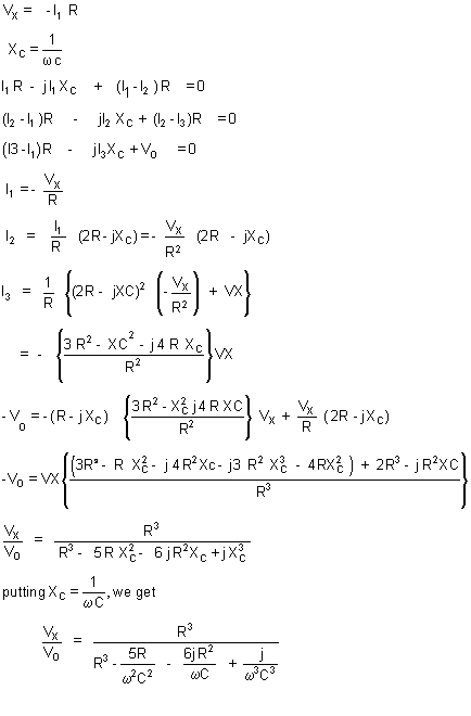
To find the frequency of oscillation, let us neglect the loading of the phase shift network. Writing the KV equations,

For phase shift equal to 180o between Vx and VO, imaginary term of Vx / VO must be zero.
Therefore, 
This is the frequency of oscillation. Substituting this frequency in Vx / VO expression.

In order to ensure the oscillation, initially |Aβ| >1 and under study state Aβ =1. This means the gain of the amplifier should be initially greater than 29 (so that Aβ >1) and under steady stat conditions it reduces to 29.
GOTO >> 1 || 2 || 3 || Home