Discrete-time Linear Shift Invariant System                                                                                          Print this page
<< Previous |  First Last |  Next >>       

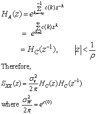
Note that and are both analytic.

Therefore, is a minimum phase filter .

<< Previous |  First Last |  Next >>