Discrete-time Linear Shift Invariant System                                                                                          Print this page
<< Previous |  First Last |  Next >>       

Proof of the spectral factorization theorem

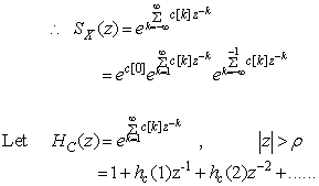
        Since is analytic in an annular region that includes the unit circle

where is the order cepstral coefficient. For a real signal and

    

<< Previous |  First Last |  Next >>