Poisson Processes                                                                                                                                  Print this page
<< Previous |  First Last |  Next >>       



Mean, Variance and Covariance of the Poisson Process

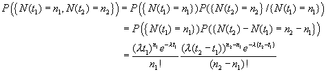
We observe that at any time is a Poisson random variable with the parameter Therefore,

                 

and         

As is a random process with independent increment, we can readily show that

 

 

<< Previous |  First |  Last |  Next >>