Poisson Processes                                                                                                                                  Print this page
<< Previous |  First Last |  Next >>       

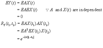
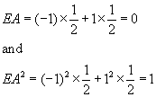
Clearly,

               

Therefore,

               

<< Previous |  First |  Last |  Next >>