Poisson Processes                                                                                                                                  Print this page
<< Previous |  First Last |  Next >>       

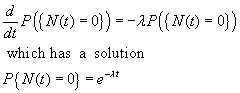
From (1)

                    

Next to find , we have

                   

with initial condition

Solving the above first-order linear differential equation, we get

                   

<< Previous |  First |  Last |  Next >>