|
Probability Mass Function for the Poisson Process

Figure 2
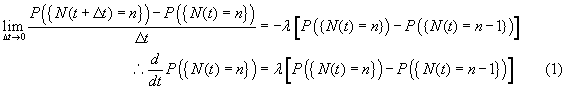
Consider the time interval in Figure 2.Then

The above is a first-order linear differential equation with initial condition
This differential equation can be solved recursively.
First consider the problem to find  |