Poisson Processes                                                                                                                                  Print this page
<< Previous |  First Last |  Next >>       

 

 

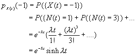
and

We can also find the conditional and joint probability mass functions. For example, for

 

<< Previous |  First |  Last |  Next >>