|
Uncorrelated Random Variables
random variables are called uncorrelated if for each ,

If are uncorrelated, will be a diagonal matrix.
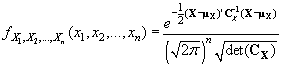
Multiple Jointly Gaussian Random variables
For any positive integer  represent jointly random variables. These random variables define a random vector . These random variables are called jointly Gaussian if the random variables have joint probability density function given by

|