Jointly Gaussian Random variables                                                                                              Print this page
<< Previous |  First |  Last |  Next >>       


   Properties of jointly Gaussian random variables

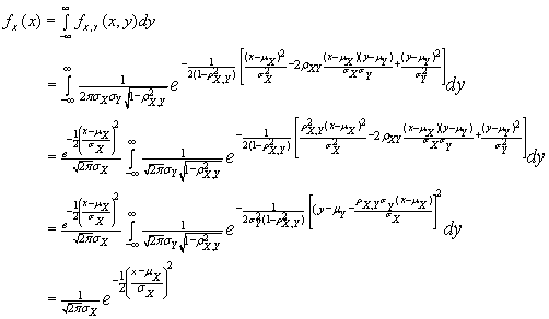
   (1) If and are jointly Gaussian, then and are both Gaussian.

   We have

                              

<< Previous |  First |   Last |  Next >>