Transformation of two random variables:                                                                                    Print this page
<< Previous |  First |  Last |  Next >>       


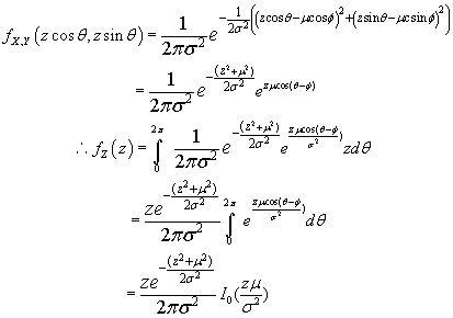
   Suppose Then

        

  where is the modified zeroth-order Bessel function of the first kind.

<< Previous |  First |  Last |  Next >>