Transformation of two random variables:                                                                                    Print this page
<< Previous |  First |  Last |  Next >>       


  Example 5 Rician random variable

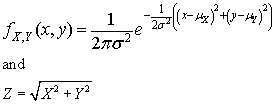
  Suppose X and Y are independent Gaussian variables with non-zero mean and respectively and constant variance. We have to find the joint density function of the random variable .

  Here
        

  We have shown that

     

<< Previous |  First |  Last |  Next >>