Simulation of Random Variables                                                                                              Print this page
<< Previous |  First |  Last |  Next >>       

          

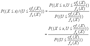
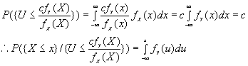
     Now ,     

     and      

<< Previous |  First |   Last |  Next >>