Basic Concepts of Set Theory                                                                                                                        Print this page
<< Previous |  First |  Last |  Next >>       


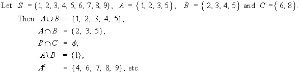
COMPLEMENT :    The complement of a set   A,   denoted by  ,  is defined as the set of all elements which are not in A.
                                                      
                           Clearly,                

Example 4
              

DISJOINT :          Two sets A and B are called disjoint if  

                 In the above example, B and C are disjoint sets.                                        

<< Previous |  First |  Last |  Next >>