|
Example 8 Consider the class of all open intervals of the form on the real line.
Here and .
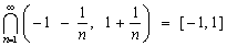
Consider the sequence of subsets in given by

It can be shown that

Hence the collection of open intervals of the real line is not a sigma-algebra.
Remark
The minimum sigma field containing is called the Borel field and denoted by B. The same Borel field is obtained if is considered as the class of all closed intervals of the form or the semi-open intervals of the form or . It can be shown that B contains all the open intervals, closed intervals and semi-open intervals.
|