Standard definitions of delay times are illustrated in Fig 4.7. Rise and fall times are defined between 10 and 90% points of the total voltage transition at the input of an inverter or gate. The total voltage range at both input as well as output is taken to be VOL and VOH. Propagation delay times input to output, denoted t PLH (for the high to low transition of output waveform) and t PHL (for the low to high transition of output waveform) are defined between 50% points of input and output pulse waveforms.

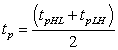
The overall propagation delay of the inverter is defined as the average of the two values:

Cycle time tcycle is the time between identical points of successive cycles in the signal waveform as seen at any single node. Often cycle time is specified in terms of its reciprocal, clock frequency f clk .
|