The separation between set of (111) planes is the smallest compared to {110} and {100}. For cubic crystals, the angle, between two planes, ( h1 k1 l 1 ) and ( h2 k2 l 2 ) is given by:
The separation between set of (111) planes is the smallest compared to {110} and {100}.
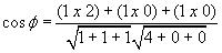
For cubic crystals, the angle, between two planes, ( h1 k1 l 1 ) and ( h2 k2 l 2 ) is given by:
Example 3: Calculate the angle between the (111) and (200) planes. From the above equation,
Example 3: Calculate the angle between the (111) and (200) planes.
From the above equation,