
Now, and 
and 

Radiation resistance can be corrupted by evaluating the radiated power.
Since the antenna is very small, alternatively we can find the radiation resistance as follows.
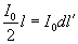
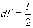
The average current = . If we apply the Herzian dipole approximation with a constant current of over the length l, then equivalent current element with .
|