Previous
Next
Fundamentals of Antennas and Radiating systems

    The current in the antenna is

       for    

       for   

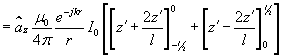
    Since the antenna length is very small, we can have .

    Using this approximation the vector potential can be written as