Previous
Next
Steady Magnetic Field

The directivity of the antenna is 8.

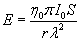
  1. A 100 turn loop antenna of radius 0.3 m lies on the xy plane with its centre at the origin. The antenna is to give a field strength of 120 mV/m at a point on xy plane having a distance of 10m. If the operating frequency is 10MHz

  2. a)Calculate the current required in the antenna.
    b)Average power the antenna need to radiate.

Solution : For a loop antenna, the electric field