Previous
Next
Steady Magnetic Field

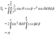
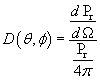
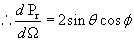
  where  is the radiated power.