Next
Previous

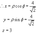
Solution:

                                                    

                                                    

                                                    

Mathematical Fundamentals

  1. The coordinates of a point P in cylindrical co-ordinates is given by . Find the volume of the sphere that has center at the origin and on which P is a point. If O represents the origin, what angle OP subtends with z-axis?