Next
Previous
                                                      

                                                      

                                                      

                                                      
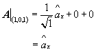
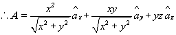
Mathematical Fundamentals