Next
Previous
                                           

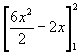
                                                            = 

                                                           

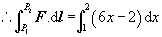
                                                            = 7

   The field F is a conservative field.

Fundamentals of Antennas and Radiating systems

 
  
                                               F . d l = (3x -2)d x + x . 3d x

                                                            = (6x -2)d x