Next
Previous
                                           

  1. In this case we observe that z1 = z2 = -1, hence the line joining the points P1 and P2 lies in the z = -1 plane and can be represented by the equation

                                              

                                              Or, y = 3x -2

                                              d y = 3 d x

Fundamentals of Antennas and Radiating systems

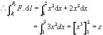
  1. For evaluating the line integral along the parabola , we find that

                                              d y = 2 x d x