Next
Previous
                                         

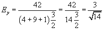
    Therefore At the point (-2, 3, 1)


                                            
Fundamentals of Antennas and Radiating systems


    But we know that