Next
Previous

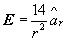
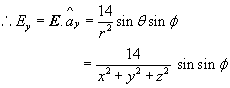
    Solution:

                                                               


                                                           

Mathematical Fundamentals

  1. A vector field is given by . Find the value of the Ey component at a point (-2, 3, 1).