Appendix
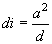
Since If the point Q ia a point on the cylindrical equipotential surface; VQ is constant i.e. Further, from the above figure we can write
Since
If the point Q ia a point on the cylindrical equipotential surface; VQ is constant i.e.
Further, from the above figure we can write