Appendix
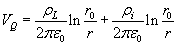
Consider the figure shown below. [For simplicity, a point equidistant from and has been assumed to be the reference point of zero potential]
Consider the figure shown below.
[For simplicity, a point equidistant from and has been assumed to be the reference point of zero potential]