Module 6 : Wave Guides
Lecture 41 : Transverse Electric and Magnetic Mode
 
Fields for Transverse Magnetic (TM) Mode
Let us consider the co-ordinate system as shown in the below fig
Let a plane wave with parallel polarization be incident at an angle .
On the lines similar to that of Transverse Electric waves we can write the electric and magnetic fields above the conducting planes as
---------- (6.7)
---------- (6.8)
Applying boundary conditions that tangential components of electric field should be zero at the conducting plane i.e at (only component of the electric field is tangential to the conducting plane) we get,
----------- (6.9)
This condition is identical to equation 6.3 and therefore all arguments presented for Transverse Electric case are applicable here also.
For parallel plane wave guide with separation `' between the two planes we get,

  ----------- (6.10)
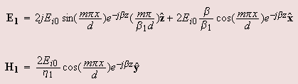
The fields after substituting for become
 
------------ (6.11)
 
 
 
------------ (6.12)