Vibrating Coil Magnetometer:
In vibrating coil magnetometer (VCM), the coil placed around the sample vibrates between the sample and the free space and thereby acts as a gradiometer. By measuring the difference in induction in these two positions, the net magnetization of the sample can be determined.

Figure 29.05: Typical arrangement of VCM set up.
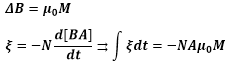
While surrounding the sample, the magnetic induction is
![]()
Induction when the coil moved away from the sample is
![]()
Therefore, the change in the induction is given as

One of the major problems with this technique is that the variation in applied field with time may induce additional noise in the measurements due to vibration of the coil.
Quiz 29:
(Q29.1) What are the different methods available to detect magnetization or magnetic field?
(Q29.2) How the environment noise plays a role in magnetization detection by induction method?
(Q29.3) What is the disadvantage of the VCM magnetometer? How do we solve the issue?