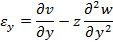
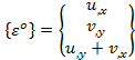
The normals are presumed to have constant length so that the strain perpendicular to the middle surface is ignored i.e. = 0. Under these assumptions, the strain-displacement relations for a point at a distance z from the middle surface of the laminate are given by
or,
 |
(16.2) |
where is the mid plane strain vector and is the curvature vector; u, v are the tangential mid plane displacements. The constitutive relationship for the kth layer with respect to the principal material axis is given by
 |
(16.3) |
The elements of the matrix Q are expressed in terms of elastic constants as
Of the 5 engineering elastic constants, only 4 are independent and the fifth is evaluated from the relation
 |
(16.5) |
|