DAMPED SYSTEM
Print this page
 

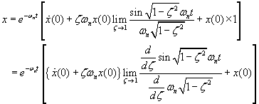
(3) Critically damped systems

We obtained two roots

Two terms in solution combines to give one constant

From equation (3.32) for critically damped case (when ), we have

 

  Prev