DAMPED SYSTEM
Print this page
 

and

     

or

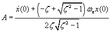
which gives
   

and
  

 

  Prev