Next
Previous

Kinematics of a particle moving on a curve

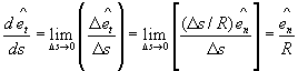
We thus have the magnitude of established in an approximate manner. Using , the principle normal at s, to approximate the direction of we can write

If we use this result in the limiting process (where it becomes exact), the evaluation of becomes,

When we substitute this into eq(1), the acceleration vector becomes

The second component always points towards center.