Next
Previous

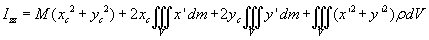
Moments and Product of Inertia

or

Since x'y'z' is located at the center of mass,

Thus,

We can write xc2+ yc2= d2

In this d is the perpendicular distance between the z' axis through the center of mass and the z axis about which we are taking moments of inertia.