Next
Previous

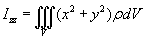
We can now formulate Izz in the following way,

Carrying out the squres and rearranging, we have

Moments and Product of Inertia

Hence,