Module 1 : Stability of Electric Drives
Steady State Stability of an Electric Drive
(Cont.)
Criteria for steady state stability:-
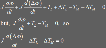
Let the equilibrium of the torques and speed is
and the small deviations are
After the displacement from the equilibrium state the torque equation becomes,
1
2
3
4
5
6
Dr. K. R. Rajagopal