Some decision properties of Regular Languages
Print this page
First   |   Last   |   Prev   |   Next
                      

                            
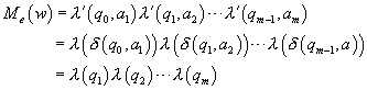
Now, for any given input string . If goes through a sequence of states then it produces the output sequence . According to the construction, the Mealy machine also goes through the same sequence of states but produces the following output sequence.

                                      

First   |   Last   |   Prev   |   Next