Some decision properties of Regular Languages
Print this page
First   |   Last   |   Prev   |   Next

Then the output produced by the machine in response to this input is defined by . The length of the output sequence unlike for the Moore machine.

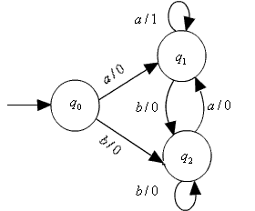
Example:2 Consider the Mealy machine given below.

The machine outputs 1 in the output string in response to some input string to indicate two consecutive occurrences of in the input.

For example, the out put corresponding to the input is 00001100100.

First   |   Last   |   Prev   |   Next