Chomsky Hierarchy
Print this page
First   |   Last   |   Prev   |   Next
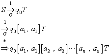
We now see that a representation of the initial ID of M for a string can be derived from S using the two rules 1 and 2 i.e.

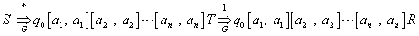
Assume that M accpets w and it doesnot use more than i calls (i>=0) to the right of w.

Then using rule 3 once and rule 4 i-times, and finally rule 5 once, G derives the following string

  (using rule 3)

First   |   Last   |   Prev   |   Next