Chomsky Hierarchy
Print this page
First   |   Last   |   Prev   |   Next

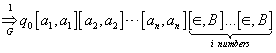
( Using rule 4 i-times)

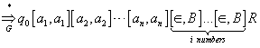
      ( using rule 5 )

This is the representation of the string

For any further derivation from this point, we can use only rules 6 and 7 until we encounter a final state.

First   |   Last   |   Prev   |   Next