Module 7 : Factorization

Lecture 1 : Current state of the art

 

Trial division

 

Trial division is the simplest and easiest to understand of the integer factorization algorithms.

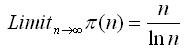
Given an odd composite integer n there must be a prime factor less than . Thus we need to test for all primes that divides n . Let π(n) denote the number of primes less than n . From the prime number theorem we have the following:

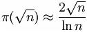
Thus we have to test for all prime factors of n . From the previous theorem we have:

If a v a riant is used without pri m ality testing, but si m ply dividing by every odd nu m ber less than the square root of n , pri m e or not, it can take up to about

trial divisions which for large n is worse.

 

If n has small prime factors then this algorithm performs quite well. This means that for n with large p rime factors of similar size (like those used in public key cryptography), trial division is computation a lly infeasible. For most significant factoring concerns, however, other algorithms are more efficient and therefore feasible.

 

Given a composite integer n(throughout this article, n means "the integer to be factored"), trial division consists of trial-dividing n by every prime number less than or equal to . If a number is found which divides evenly into n, that number is a factor of n.

A definite bound on the prime factors is possible. Suppose P(i) is the i'th prime, so that P(1) = 2, P(2) = 3, etc. Then the last prime number worth testing as a possible factor o n is P(i) where P(i + 1)2  > n; equality here would mean that P(i + 1) was a factor. This is all very well, but usually inconvenient to apply for the inspection of a single n since determining the correct value for i is more effort than simply trying the one unneeded candidate P(i + 1) that would be involved in testing with all P(i) such that
. Should the square root of n be integral, then it is a factor and n is a
Perfect square, not that this is a good way of finding them.

Trial division is guaranteed to find a factor of n, since it checks all possible prime factors of n. Thus, if the algorithm finds no factor, it is proof that n is prime.

In the worst case, trial division is a laborious algorithm. If it starts from 2 and works up to the square root of n, the algorithm requires

 

trial divisions, where π(x) denotes the prime counting function, the number of primes less than x. This does not take into account the overhead of primality testing to obtain the prime numbers as candidate factors. If a variant is used without primality testing, but simply dividing by every odd number less than the square root of n, prime or not, it can take up to about

trial divisions which for large n is worse.

This means that for n with large prime factors of similar size (like those used in public key cryptography), trial division is computationally infeasible.

However, for n with at least one small factor, trial division can be a quick way to find that small factor. It is worthwhile to note that for random n, there is a 50% chance that 2 is a

factor of n, and a 33% chance that 3 is a factor, and so on. It can be shown that 88% of all positive integers have a factor under 100, and that 91% have a factor under 1000.

For most significant factoring concerns, however, other algorithms are more efficient and therefore feasible.