Seepage in Soils
Print this page
First  |  Last  |  Prev  |  Next


A rectangular soil element is shown with dimensions dx and dz in the plane, and thickness dy perpendicuar to this plane. Consider planar flow into the rectangular soil element.

In the x-direction, the net amount of the water entering and leaving the element is



Similarly in the z-direction, the difference between the water inflow and outflow is

For a two-dimensional steady flow of pore water, any imbalance in flows into and out of an element in the z-direction must be compensated by a corresponding opposite imbalance in the x-direction. Combining the above, and dividing by dx.dy.dz , the continuity equation is expressed as

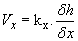
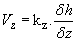
From Darcy's law, ,, where h is the head causing flow.

When the continuity equation is combined with Darcy's law, the equation for flow is expressed as:

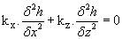
For an isotropic material in which the permeability is the same in all directions (i.e. k x= k z), the flow equation is

This is the Laplace equation governing two-dimensional steady state flow. It can be solved graphically, analytically, numerically, or analogically.

For the more general situation involving three-dimensional steady flow, Laplace equation becomes:

First  |  Last  |  Prev  |  Next