Compaction of Cohesionless Soils
Print this page
First  |  Last  |  Prev  |  Next

For cohesionless soils (or soils without any fines), the standard compaction tests are difficult to perform. For compaction, application of vibrations is the most effective method. Watering is another method. The seepage force of water percolating through a cohesionless soil makes the soil grains occupy a more stable position. However a large quantity of water is required in this method. To achieve maximum dry density, they can be compacted either in a dry state or in a saturated state.

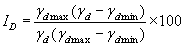
For these soil types, it is usual to specify a magnitude of relative density (ID) that must be achieved. If e is the current void ratio or gd is the current dry density, the relative density is usually defined in percentage as



or

where emax and emin are the maximum and minimum void ratios that can be determined from standard tests in the laboratory, and gdmin and gdmax are the respective minimum and maximum dry densities

On the basis of relative density, sands and gravels can be grouped into different categories:

Relative
density (%)         Classification

       < 15               Very loose

      15-35              Loose

      35-65              Medium

      65-85              Dense

       > 85               Very dense

It is not possible to determine the dry density from the value of the relative density. The reason is that the values of the maximum and minimum dry densities (or void ratios) depend on the gradation and angularity of the soil grains.

First  |  Last  |  Prev  |  Next