Dry Density - Water Content Relationship
Print this page
First  |  Last  |  Prev  |  Next

To assess the degree of compaction, it is necessary to use the dry unit weight, which is an indicator of compactness of solid soil particles in a given volume. The laboratory testing is meant to establish the maximum dry density that can be attained for a given soil with a standard amount of compactive effort.

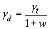
In the test, the dry density cannot be determined directly, and as such the bulk density and the moisture content are obtained first to calculate the dry density as , where = bulk density, and w = water content.

A series of samples of the soil are compacted at different water contents, and a curve is drawn with axes of dry density and water content. The resulting plot usually has a distinct peak as shown. Such inverted “V” curves are obtained for cohesive soils (or soils with fines), and are known as compaction curves.

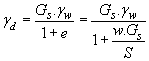
Dry density can be related to water content and degree of saturation (S) as


Thus, it can be visualized that an increase of dry density means a decrease of voids ratio and a more compact soil.

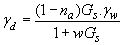
Similarly, dry density can be related to percentage air voids (na) as



The relation between moisture content and dry unit weight for a saturated soil is the zero air-voids line. It is not feasible to expel air completely by compaction, no matter how much compactive effort is used and in whatever manner.


Effect of Increasing Water Content
As water is added to a soil at low moisture contents, it becomes easier for the particles to move past one another during the application of compacting force. The particles come closer, the voids are reduced and this causes the dry density to increase. As the water content increases, the soil particles develop larger water films around them.

This increase in dry density continues till a stage is reached where water starts occupying the space that could have been occupied by the soil grains. Thus the water at this stage hinders the closer packing of grains and reduces the dry unit weight. The maximum dry density (MDD) occurs at an optimum water content (OMC), and their values can be obtained from the plot.


Effect of Increasing Compactive Effort
The effect of increasing compactive effort is shown. Different curves are obtained for different compactive efforts. A greater compactive effort reduces the optimum moisture content and increases the maximum dry density.

An increase in compactive effort produces a very large increase in dry density for soil when it is compacted at water contents drier than the optimum moisture content.It should be noted that for moisture contents greater than the optimum, the use of heavier compaction effort will have only a small effect on increasing dry unit weights.

It can be seen that the compaction curve is not a unique soil characteristic. It depends on the compaction effort. For this reason, it is important to specify the compaction procedure (light or heavy) when giving values of MDD and OMC.


Factors Affecting Compaction
The factors that influence the achieved degree of compaction in the laboratory are:

  • Plasticity of the soil
  • Water content
  • Compactive effort

First  |  Last  |  Prev  |  Next