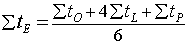
| Based on the above time estimate, the average time taken for the completion of the activity or job is called expected time. Taking weighted average, we can obtain the expected time as -

This result has been derived considering - distribution and weighted average as one .
The expected time of an activity in series can be summed to calculate the total time as -

|