Chi-Square distribution
The squared sum of the standard normal variables follows Chi-square distribution.
![]()
Cumulative distribution function for the Chi-squared distribution is as follows;

Where, Z1, Z2,..... are the standard normal variables.
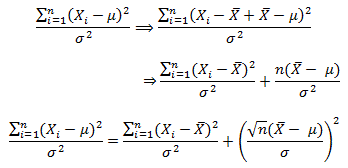
X1, X2, …..Xn is the random sample of size n with mean
and variance s2 and the corresponding population parameters are μ and σ2.Then,

The left hand side of the above equation is the squared sum of standard normal variables and the resulting random variable follows Chi-Square distribution with n degrees of freedom. On the right hand side, the second part of the summation is the square of a standard normal variable and the resulting random variable follows Chi-square distribution with one degree of freedom. Resulting random variable of the summation of two Chi-squared random variables is a Chi-square random variable. Then, it can be said that the random variable in the first part of the summation is a Chi-square random variable with n-1 degrees of freedom. Figure 6.3 shows the probability density functions of the Chi-square random variables with various degrees of freedom.
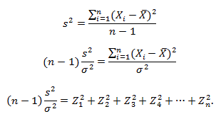
The variance of the random sample is given below and from the variance it is shown that the random variable
follows Chi-square distribution with n-1 degrees of freedom.
