Module 5 : Cost estimating

Lecture 3 : Approximate estimates

Cost indexes

The method involving cost indexes is used for obtaining preliminary cost estimate by considering the historical data of similar past projects. Cost indexes (or indices) are dimensionless numerical values which represent the price change of individual or multiple cost items over time with respect to a reference year. Cost indexes are used to update the historical cost figures and to obtain the current cost estimates. The relationship used for updating the historical cost figures to the cost at another point of time using cost index is presented below.

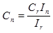
Where

Cn = estimated cost of the item in year ‘n'

Cr = cost of the item in year ‘r' (at earlier point of time and n > r )

I n = index value in year ‘n'

Ir = index value in year ‘r'

Here ‘r' is the reference year (i.e. at earlier of point of time) at which the cost of the item known and ‘n' is the year for which cost of the item is to be estimated. Cost indexes are periodically published by various public and private agencies.

Cost indexes are generated for an individual item or for wider variety of items. For a single item, cost index can be calculated as the ratio of cost of the item today (i.e. in current year) to the cost of the same item at some point of time in past (i.e. reference year) multiplied with cost index value of the reference year. Similarly for multiple items, a weighted-average index or composite index for a specific year can be obtained from known cost of the selected group of items in the given year and in reference year and the composite index of these items in the reference year by assigning the appropriate weightage factors to these items. In construction, the expected cost estimate of materials, equipment and labour for new projects can be obtained from the known cost of these items from similar past projects and cost indexes (in reference year and current year) using the above relationship.

Example -1

For estimating the expected cost of materials for a new construction project, the following information is available;

The material cost of a similar construction project that was completed four years ago was Rs.1,12,64,000 and the material cost index was 512. Calculate the approximate material cost for the new project, if material cost index now is 625.

Solution:

The approximate material cost for the new project ‘Cn' is calculated using the above relationship and is presented below.

Where

Cn = approximate material cost (present cost estimate)

Cr = material cost of similar project four years ago = Rs.1,12,64,000

In = material cost index now = 625

Ir = material cost index four years ago = 512

Thus the approximate material cost for the new construction project is Rs.1,37,50,000.